Process Optimization for the Scale-Up of a Ribose-Derivative
Lysosomal storage diseases constitute a group of inherited metabolic disorders caused by the deficiency of lysosomal functions. Over time, accumulation of lysosomal enzyme substrate is observed in patient’s tissues and organs causing irreversible damages like rapid nerve degeneration and short life expectancy. Dorphan SA is developing an iminosugar derivative as a treatment for a subset of the lysosomal storage diseases.

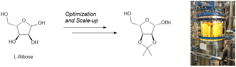
Here, we present our work, which consists in enabling and optimizing the first reactions out of the 11 chemical steps in the synthetic route leading to the active pharmaceutical ingredient. In the course of this work, a DoE was performed to increase the yield of the reactions and get a robust and efficient process. The reactions were further evaluated regarding thermal safety, analytical characterization and costs. A preliminary scale-up run is discussed as well.
[1] C. Chevrier et al., Carbohydrate Res. 2011, 346, 1202–1211
[2] J.D. More and N.S. Finney, Org. Letters 2002, 4, 3001-3003.