Diaryl Borinic Acids Modulate Store-operated Calcium Entry (SOCE)
The intracellular Ca2+ concentration is carefully controlled, as changes in [Ca2+]i mediates a plethora of cellular and ultimately physiological processes, such as cell differentiation, muscle contraction, neurotransmission, proliferation and immune cell mobility, among many others.
Intracellular Ca2+ is stored in the endoplasmic reticulum (ER) and released upon activation of ER-receptors (e.g. IP3). Refilling of the ER Ca2+ stores requires an intricate interplay and assembly between Ca2+ sensing proteins (STIM1 and STIM2) located in the ER membrane and proteins (Orai1, 2 and 3) in the plasma membrane. The resulting STIM/Orai complexes form a Ca2+ channel that causes a measurable calcium-release activated calcium current (ICRAC). Mutations in STIM or Orai that either cause enhanced or reduced store-operated calcium entry (SOCE) have been associated with muscular and immunodeficiency diseases, respectively.
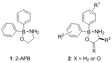
Diphenyl borinate 2-APB (1) exhibits a dual function on SOCE, as it blocks at high concentration (e.g. 50 μM) but potentiates SOCE at lower concentrations (e.g. 5 μM). In this work, we present the synthesis of novel 2-APB analogues (2), some of their crystal structures and their concentration-dependent influence on SOCE. Specifically, we have investigated Orai-subtype selectivity (Orai1 vs. Orai3) and have also generated some fluorescent 2-APB congeners.

[1] M. Prakriya, R. S. Lewis, Physiol. Rev., 2015, 95, 1383-1436.!
[2] A. Hofer, G. Kovacs, A. Zappatini, M. Leuenberger, M. A. Hediger, M. Lochner, Bioorg. Med. Chem., 2013, 21, 3202-3213.