Atroposelective Double Arene-Forming Aldol Condensation: Synthesis of Tetra-ortho-substituted Binaphthalenes
Due to their excellent suitability as ligands or organocatalysts for stereoselective catalysis, axially chiral molecules, such as biaryls, have received a great level of interest. However, despite their importance, the stereoselective synthesis of biaryl atropisomers remains challenging and resolution of racemic mixtures is still a frequently applied strategy for the preparation of enantiopure biaryls. Novel stereoselective methods to prepare axially chiral biaryls are therefore highly desirable. Of particular interest are strategies to make enantioenriched 2,2’,3,3’-substituted binaphthalenes, privileged scaffolds in ligand design, as they would allow to replace cumbersome multi-step procedures which typically involve protecting group manipulations.
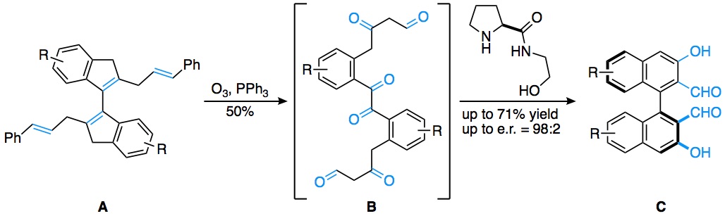
The presentation outlines our approach to stereoselectively prepare 2,2’,3,3’-substituted binaphthalenes by a four-fold ozonolysis of cinnamyl indene dimers (A) to hexa-carbonyl substrates (B) followed by a secondary amine catalyzed double arene-forming aldol condensation. The reaction cascade proceeds with good overall yields and high enantioselectivities giving access to tetra-ortho-substituted binaphthalenes (C) which can be readily converted into established scaffolds for catalysis.

Reto M. Witzig, Vincent C. Fäseke, Christof Sparr, unpublished results; Achim Link, Christof Sparr, Angew. Chem. Int. Ed. 2014, 53, 5458–5461;
Dominik Lotter, Markus Neuburger, Michel Rickhaus, Daniel Häussinger, Christof Sparr, Angew. Chem. Int. Ed. 2016, 55, 2920–2923.