Triangular Donor—Acceptor Systems
Organic molecules that absorb or emit visible light play an important role in many areas of research, including renewable energy production, material science, or biological imaging. Their optoelectronic properties arise from the presence of chromophoric unit, a metal or π-conjugated core, that is embedded in the structure of these molecules. Most of the known π-conjugated chromophores have shapes reminiscent of a square, a rectangle, or a sphere. Chromophores with triangular shapes are far less common and rather unique.
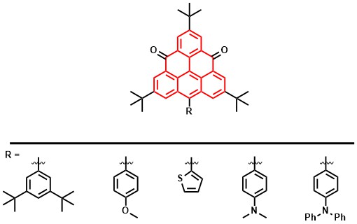
Recently, we synthesized and studied optoelectronic properties of five triangularly shaped donor−acceptor molecules containing triangulene-4,8-dione as an electron-acceptor unit and various electron-donor units. To favor electron communication between the donor and the acceptor units, the electron-donor unit was installed at position 12, at which triangulene-4,8-dione displays the highest coefficient in the LUMO. These molecular triangles were synthesized in eight steps such that the electron-donor substituents were installed in the last step by means of the Suzuki cross-coupling reaction. All molecules absorb and emit light in the region of around 450−650 and 550−850 nm, respectively, exhibit solvatochromism, and possess up to four redox states. On account of the rare triangular shape, these compounds display unprecedented packing modes in the solid state, which is of interest for design of optoelectronic devices.

[1] P. Ribar, T. Šolomek, L. Le Pleux, D. Häussinger, A. Prescimone, M. Neuburger, M. Juríček, Synthesis 2017, 47, 899—909.
[2] Y. Morita, S. Nishida, T. Murata, M. Moriguchi, A. Ueda, M. Satoh, K. Arifuku, K. Sato, T. Takui, Nat. Mater. 2011, 10, 947—951.