Parallel π–π Stacking Interactions: Substituent Effects at Different Displacement
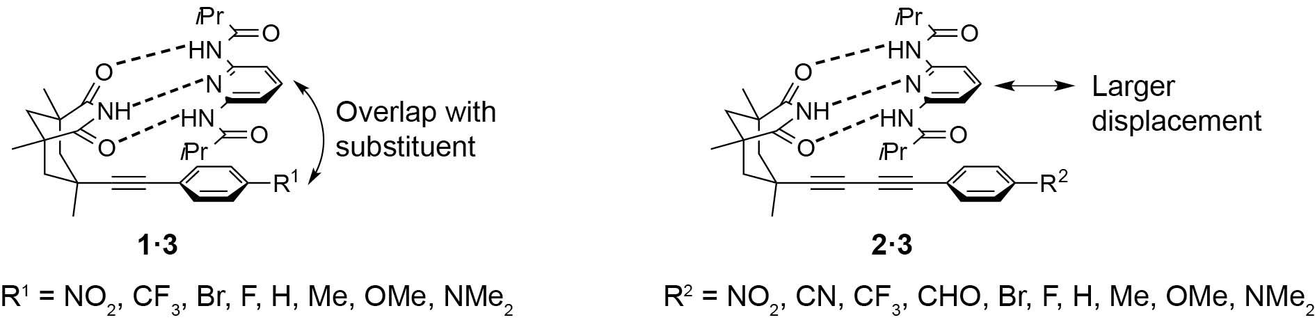
Parallel-displaced π–π stacking interactions were investigated experimentally using two different host–guest model systems with Rebek imide-type receptors 1 or 2 and 2,6-di(isobutyramido)pyridine ligand 3 (Figure 1).[1,2]
Guest 3 forms a triple H-bonding array to the imide moieties of receptors 1 or 2. This allows for a parallel stacking geometry between the pyridine ring in 3 and the aromatic platform of 1 or 2 at different displacement, as confirmed by comprehensive structural analysis in solution and in solid state. In complex 1·3, partial overlap between the pyridine core of 3 and the para-substituent R1 is generated by a short ethyne-1,2-diyl spacer and enables direct, through space interactions. Any substituent had a stabilizing effect on the stacking interaction, independent of its electronic nature. In complex 2·3, the elongated buta-1,3-diyne-1,4-diyl spacer prevents local, direct interactions between guest 3 and para-substituent R2. Here, the electronic influence of the substituent on the aromatic platform affected the stacking strength crucially.
Changing the distance between substituent and intermolecularly interacting aromatic ring results in a fundamentally different substituent effect on parallel π–π stacking interactions.

[1] Michael Harder, Marjorie A. Carnero Corrales, Nils Trapp, Bernd Kuhn, François Diederich, Chem. Eur. J. 2015, 21, 8455–8463. [2] Leslie-Joana Riwar, Nils Trapp, Bernd Kuhn, François Diederich, Angew. Chem. Int. Ed. 2017, in press.