Fighting Cancer with the Next Generation of Organometallic Assemblies
Due to defective vascular architectures, tumor blood vessels are better in extravasating large molecules from the blood. Tumors show a poor lymphatic drainage which causes retention of high-molecular weight substances.1 These two features are the bases for the EPR (Enhanced Permeability and Retention) effect. Due to this enhanced permeability, large molecules are able to enter into the tumor tissue and accumulate locally due to the poor lymphatic drainage, thus increasing the selectivity and reducing side effects.2 Our research uses organometallic assemblies that taken up by cancer cells.3 Therefore, to better exploit the EPR effect, we have designed larger arene-ruthenium metalla-assemblies.

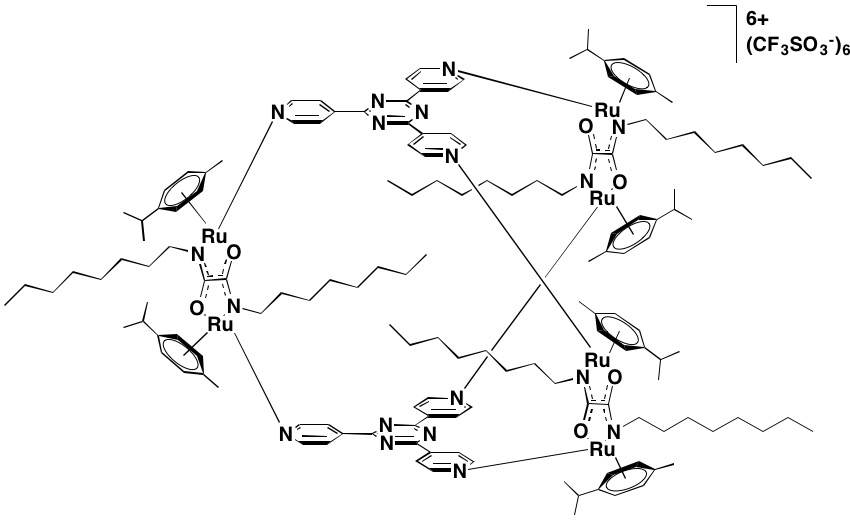
These large compounds are composed of three metalla-clips that are connected by two tridentate panels forming a hollow which might transport guests (drugs). Functional groups can be anchored on the building blocks to enhance the size, activity and physiological property. For example, octyl chains can be anchored on the clip, thus increasing significantly the volume of the assembly (Figure 1). In the future, the influence of introducing longer and/or shorter, alkyl- and/or PEGylated chains, will be evaluated.
[1] H. Maeda, K. Tsukigawa, J. Fang Microcirculation, 2016, 23, 173-182.
[2] H. Maeda, G. Y. Bharate, J. Daruwalla Eur. J. Pharm. Biopharm., 2009, 71, 409-419.
[3] A. Garci, A. A. Dobrov, R. Riedel, E. Orhan, P. J. Dyson, V. B. Arion, B. Therrien Organometallics, 2014, 33, 3818-3822.